
¡¾Ò©Æ·Ãû³Æ¡¿Í¨ÓÃÃû³Æ£º×¢ÉäÓÃÁòË᳤´ºÐ¼î
Ó¢ÎÄÃû³Æ£ºVincristine Sulfate for Injection
ººÓïÆ´Òô£ºZhusheyong LiusuanChangchunxinjian
¡¾³É·Ý¡¿±¾Æ·ÖØÒª³É·ÝΪÁòË᳤´ºÐ¼
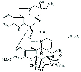
Æä½á¹¹Ê½Îª£º

·Ö×Óʽ£ºC46H56N4O10¡¤H2SO4
·Ö×ÓÁ¿£º923.04
È«Êý¸¨ÁÏÃû³ÆÎª£º¸Ê¶´¼
¡¾ÐÔ×´¡¿±¾Æ·Îª°×É«»òÀà°×É«µÄÊèËÉ×´»òÎÞ¶¨ÐιÌÌ壻ÓÐÒýʪÐÔ£»Óö¹â»òÈÈÒױ仯¡£
¡¾ÊÊÓ¦Ö¢¡¿1¡¢¼±ÐÔ°×Ѫ²¡£¬ÓÈÆäÊǶùͯ¼±ÐÔ°×Ѫ²¡£¬¶Ô¼±ÐÔÁܰÍϸ°û°×Ѫ²¡ÁÆÐ§ÏÔÖø¡£2¡¢¶ñÐÔÁܰÍÁö¡£3¡¢Éúֳϸ°ûÖ×Áö¡£4¡¢Ó×ϸ°û·Î°©£¬ÓÈÎÄ׸Áö¡¢Éöĸϸ°ûÁö¡¢Éñ¾Ä¸Ï¸°ûÁö¡£5¡¢ÈéÏÙ°©¡¢ÂýÐÔÁܰÍϸ°û°×Ѫ²¡¡¢Ïû»¯Â·°©¡¢ÐþÉ«ËØÁö¼°¶à·¢ÐÔ¹ÇËèÁöµÈ¡£
¡¾¹æ¸ñ¡¿1mg
¡¾Ó÷¨ÓÃÁ¿¡¿³ÉÈ˼ÁÁ¿1¡«2mg(»ò1.4mg/©O)×î´ó²»´óÓÚ2mg£¬´ºÇï´óÓÚ65ËêÕߣ¬×î´óÿ´Î1mg¡£¶ùͯ75¦Ìg/kg»ò2.0mg/©O£¬Ã¿ÖÜ1´Î¾²Âö×¢Éä»òÍ»Èë¡£½áºÏ»¯ÁÆÊÇÁ¬ÓÃ2ÖÜΪһÖÜÆÚ¡£
¡¾²»Á¼·´Ó³¡¿1¡¢¼ÁÁ¿ÏÞ¶ÈÐÔ¶¾ÐÔÊÇÉñ¾ÏµÍ³¶¾ÐÔ£¬ÖØÒªÒýÆð±íÖÜÉñ¾Ö¢×´£¬ÈçÊÖÖ¸¡¢Éñ¾¶¾ÐԵȣ¬ÓëÀÛ»ýÁ¿Óйء£×ãÖºÂéľ¡¢ëì·´Éä³Õ¶Û»òÒþû£¬±íÖÜÉñ¾Ñס£¸¹Í´¡¢±ãÃØ£¬ÂéľÐÔ³¦¹£×èż¼û¡£»î¶¯Éñ¾¡¢¸Ð´¥Éñ¾ºÍÄÔÉñ¾Ò²¿ÉÊܵ½·ÛË飬²¢²úÉúÏàÓ¦Ö¢×´¡£Éñ¾¶¾ÐÔ³£·¢ÉúÓÚ40ËêÒÔÉÏÕߣ¬¶ùͯµÄÄÍÊÜÐÔºÃÓÚ³ÉÈË£¬¶ñÐÔÁܰÍÁö²¡È˳öÏÖÉñ¾¶¾ÐÔµÄÆ«²î¸ßÓÚÆäËûÖ×Áö²¡ÈË¡£2¡¢¹ÇËèÒÖÔìºÍÏû»¯Â··´Ó³½ÏÇá¡£3¡¢Óв¿ÃÅ×éÖ¯´Ì¼¤×÷Óã¬Ò©Òº²»Äܱí©£¬²»È»¿ÉÒýÆð²¿ÃÅ»µËÀ¡£4¡¢¿É¼ûÍÑ·¢£¬Å¼¼ûѪѹµÄŤת¡£
¡¾½û¼É¡¿Éв»Ã÷È·¡£
¡¾µ±¿àÖÔÏî¡¿1¡¢½öÓÃÓÚ¾²Âö×¢É䣬©ÓÚÆ¤Ï¿ɵ¼ÖÂ×éÖ¯»µËÀ¡¢·äÎÑÖ¯Ñס£Ò»µ©Â©³ö»ò¿ÉÒɱí©£¬Ó¦Á¢¼´ÖÕ³¡ÊäÒº£¬²¢ÓèÏàÓ¦´¦ÖÃ(²Î¿¼µª½æ±í©µÄ´¦ÖÃ)¡£2¡¢Ô¤·ÀÒ©Òº½¦ÈëÑÛÄÚ£¬Ò»µ©·¢ÉúÓ¦Á¢¼´ÓôóÁ¿ÉúÀíÑÎË®³åË¢£¬ÒÔÀ´ÀûÓõØÈûÃ×ËÉÑ۸ౣ»¤¡£3¡¢Í»Èë¾²ÂöʱԤ·ÀÈÕ¹âÖ±½ÓÕÕÉä¡£4¡¢¸ÎÖ°ÄÜÒ쳣ʱ¼õÁ¿Ê¹Óá£
¡¾Ôи¾¼°²¸ÈéÆÚ¸¾Å®ÓÃÒ©¡¿Éв»Ã÷È·¡£
¡¾¶ùͯÓÃÒ©¡¿Éв»Ã÷È·¡£
¡¾ÀÏÄêÓÃÒ©¡¿Éв»Ã÷È·¡£
¡¾Ò©ÎïÏ໥×÷Óá¿1¡¢ßÁ¿©ÏµÁп¹Õæ¾ú¼Á(ÒÁÇú¿µßò)£¬Ôö³¤¼¡ÈâÉñ¾ÏµÍ³µÄ¸±×÷Óá£Èç·¢ÏÖÓи±×÷Óã¬Ó¦½øÐмõÁ¿¡¢ÔÝÍ£»òÍ£Ò©µÈÊʵ±´¦Öá£ÒÁÇú¿µßòÓйÊÕϸÎϸ°ûÉ«ËØP-450 3AµÄ×÷Ó㬳¤´ºÐ¼îͨ¹ý¸Îϸ°ûÈ¾É«ËØP-450 3A´úл£¬ºÏÓÿÉʹ³¤´ºÐ¼î´úлÊÜÒÖÔì¡£2¡¢Óë±½Í×ӢįºÏÓ㬽µµÍ±½Í×ӢįÎüÊÕ£¬»òʹ´úл¿º½ø¡£3¡¢Ó뺬²¬µÄ¿¹ÑÇ¡¢¶ñÐÔÖ×Áö¼ÁºÏÓ㬿ÉÄܼÓÇ¿µÚ8¶ÔÄÔÉñ¾×è°¡£4¡¢ÓëL-Ì춬õ£°·Ã¸ºÏÓ㬿ÉÄܼÓÇ¿Éñ¾ÏµÍ³¼°ÑªÒºÏµÍ³µÄ×è°¡£Îª½«¶¾ÐÔ½ÚÔìµ½×îÓ×£¬¿É½«ÁòË᳤´ºÐ¼îÔÚL-Ì춬õ£°·Ã¸¸øÒ©Ç°12¡«24Ó×ʱÒÔǰʹÓá£
¡¾Ò©Îï¹ýÁ¿¡¿Éв»Ã÷È·¡£
¡¾Ò©Àí¶¾Àí¡¿³¤´ºÐ¼îΪ¼ÐÖñÌÒ¿ÆÖ²Îﳤ´º»¨ÖÐÌáÈ¡µÄÓÐЧ³É·Ö¡£¿¹Ö×Áö×÷ÓðеãÊÇ΢¹Ü£¬ÖØÒªÒÖÔì΢¹Üµ°°×µÄ¾ÛºÏ¶øÓ°Ïì·Ä´¸Ìå΢¹ÜµÄÐγɡ£Ê¹ÓÐË¿¸îÁÑÖÕ³¡ÓÚÖÐÆÚ¡£»¹¿É×ÌÈŵ°°×ÖÊ´úл¼°ÒÖÔìRNA¶à¾ÛøµÄ»îÁ¦£¬²¢ÒÖÔìϸ°ûĤÀàÖ¬ÖʵĺϳɺͰ±»ùËáÔÚϸ°ûĤÉϵÄתÔË¡£³¤´ºÐ¼î¶ÔÒÆÖ²ÐÔÖ×ÁöµÄÒÖÔì×÷ÓôóÓÚ³¤´º»¨¼îÇÒ¿¹ÁöÆ×¹ã¡£³ý¶Ô³¤´º»¨¼îÃô¸ÐµÄÁöÖêÓÐЧ±í£¬¶ÔÓ×ÊóRidgeway³É¹Ç׸Áö¡¢MeccaÁܰÍ׸Áö¡¢X-5563¹ÇËèÁöµÈÒ²ÓÐ×÷Óᣳ¤´ºÐ¼³¤´º»¨¼îºÍ³¤´ºµØÐÁÈýÕß¼äÎÞ½»²æÄÍÒ©¾°Ï󣬳¤´ºÐ¼îÉñ¾¶¾ÐÔÔÚÈýÕßÖÐ×îÇ¿¡£
¡¾Ò©´ú¶¯Á¦Ñ§¡¿¾²×¢³¤´ºÐ¼îºóѸËÙÉ¢²¼ÓÚ¸÷×éÖ¯£¬Éñ¾Ï¸°ûÄÚŨ¶È½Ï¸ß£¬ºÜÉÙ͸¹ýѪÄÔ·®À飬ÄÔ¼¹ÒºÅ¨¶ÈÊÇѪ½¬Å¨¶ÈµÄ1/30¡«1/20¡£µ°°×½áºÏÂÊ75%¡£ÔÚ³ÉÈË£¬T1/2¦ÁÓ×ÓÚ5·ÖÖÓ£¬T1/2¦ÂΪ50¡«155·ÖÖÓ£¬Ä©ÉÒ½â³ýÏàT1/2¦Ã³¤´ï85Ó×ʱ¡£ÔÚ¸ÎÄÚ´úл£¬ÔÚµ¨ÖÖÐŨ¶È×î¸ß£¬ÖØÒªË浨ÖÅųö£¬·à±ãÉø³ö70%£¬ÄòÖÐÉø³ö5%¡«16%¡£³¤´ºÐ¼îÄÜÑ¡ÔñÐԵؼ¯ÖÐÔÚ°©×éÖ¯£¬¿ÉʹÔöֳϸ°ûͬ²½»¯£¬½ø¶øÊ¹¿¹Ö×ÁöÒ©ÎïÔöЧ¡£
¡¾Öü²Ø¡¿Õڹ⣬Ãܹأ¬ÔÚÀä´¦(2-10¡æ)±£Áô¡£
¡¾°ü×°¡¿Î÷ÁÔì¿×°¡£10Ö§/ºÐ¡£
¡¾ÓÐЧÆÚ¡¿24¸öÔÂ
¡¾Ö´Ðг߶ȡ¿¡¶ÖйúÒ©µä¡·2015Äê°æµÚÒ»²¹³ä±¾
¡¾ºË×¼Îĺš¿¹úÒ©×¼×ÖH14020811
¡¾³ö²úÆóÒµ¡¿ÆóÒµÃû³Æ£ºÉ½Î÷ºã·åg22̩ʢÔìÒ©ÓÐÏÞ¹«Ë¾
³ö²úµØÖ·£ºÉ½Î÷Ê¡°üÍ·Êо¼Ã¼¼Êõ¿ª·¢ÇøµÚÒ»Ò½Ò©Ô°Çø
ÓÊÕþ±àÂ룺037300
µç»°ºÅÂ룺0352¡ª7290991
´«ÕæºÅÂ룺0352¡ª7290990

¡¾Ò©Æ·Ãû³Æ¡¿Í¨ÓÃÃû³Æ£º×¢ÉäÓÃÁòË᳤´ºÐ¼î
Ó¢ÎÄÃû³Æ£ºVincristine Sulfate for Injection
ººÓïÆ´Òô£ºZhusheyong LiusuanChangchunxinjian
¡¾³É·Ý¡¿±¾Æ·ÖØÒª³É·ÝΪÁòË᳤´ºÐ¼
Æä½á¹¹Ê½Îª£º

·Ö×Óʽ£ºC46H56N4O10¡¤H2SO4
·Ö×ÓÁ¿£º923.04
È«Êý¸¨ÁÏÃû³ÆÎª£º¸Ê¶´¼
¡¾ÐÔ×´¡¿±¾Æ·Îª°×É«»òÀà°×É«µÄÊèËÉ×´»òÎÞ¶¨ÐιÌÌ壻ÓÐÒýʪÐÔ£»Óö¹â»òÈÈÒױ仯¡£
¡¾ÊÊÓ¦Ö¢¡¿1¡¢¼±ÐÔ°×Ѫ²¡£¬ÓÈÆäÊǶùͯ¼±ÐÔ°×Ѫ²¡£¬¶Ô¼±ÐÔÁܰÍϸ°û°×Ѫ²¡ÁÆÐ§ÏÔÖø¡£2¡¢¶ñÐÔÁܰÍÁö¡£3¡¢Éúֳϸ°ûÖ×Áö¡£4¡¢Ó×ϸ°û·Î°©£¬ÓÈÎÄ׸Áö¡¢Éöĸϸ°ûÁö¡¢Éñ¾Ä¸Ï¸°ûÁö¡£5¡¢ÈéÏÙ°©¡¢ÂýÐÔÁܰÍϸ°û°×Ѫ²¡¡¢Ïû»¯Â·°©¡¢ÐþÉ«ËØÁö¼°¶à·¢ÐÔ¹ÇËèÁöµÈ¡£
¡¾¹æ¸ñ¡¿1mg
¡¾Ó÷¨ÓÃÁ¿¡¿³ÉÈ˼ÁÁ¿1¡«2mg(»ò1.4mg/©O)×î´ó²»´óÓÚ2mg£¬´ºÇï´óÓÚ65ËêÕߣ¬×î´óÿ´Î1mg¡£¶ùͯ75¦Ìg/kg»ò2.0mg/©O£¬Ã¿ÖÜ1´Î¾²Âö×¢Éä»òÍ»Èë¡£½áºÏ»¯ÁÆÊÇÁ¬ÓÃ2ÖÜΪһÖÜÆÚ¡£
¡¾²»Á¼·´Ó³¡¿1¡¢¼ÁÁ¿ÏÞ¶ÈÐÔ¶¾ÐÔÊÇÉñ¾ÏµÍ³¶¾ÐÔ£¬ÖØÒªÒýÆð±íÖÜÉñ¾Ö¢×´£¬ÈçÊÖÖ¸¡¢Éñ¾¶¾ÐԵȣ¬ÓëÀÛ»ýÁ¿Óйء£×ãÖºÂéľ¡¢ëì·´Éä³Õ¶Û»òÒþû£¬±íÖÜÉñ¾Ñס£¸¹Í´¡¢±ãÃØ£¬ÂéľÐÔ³¦¹£×èż¼û¡£»î¶¯Éñ¾¡¢¸Ð´¥Éñ¾ºÍÄÔÉñ¾Ò²¿ÉÊܵ½·ÛË飬²¢²úÉúÏàÓ¦Ö¢×´¡£Éñ¾¶¾ÐÔ³£·¢ÉúÓÚ40ËêÒÔÉÏÕߣ¬¶ùͯµÄÄÍÊÜÐÔºÃÓÚ³ÉÈË£¬¶ñÐÔÁܰÍÁö²¡È˳öÏÖÉñ¾¶¾ÐÔµÄÆ«²î¸ßÓÚÆäËûÖ×Áö²¡ÈË¡£2¡¢¹ÇËèÒÖÔìºÍÏû»¯Â··´Ó³½ÏÇá¡£3¡¢Óв¿ÃÅ×éÖ¯´Ì¼¤×÷Óã¬Ò©Òº²»Äܱí©£¬²»È»¿ÉÒýÆð²¿ÃÅ»µËÀ¡£4¡¢¿É¼ûÍÑ·¢£¬Å¼¼ûѪѹµÄŤת¡£
¡¾½û¼É¡¿Éв»Ã÷È·¡£
¡¾µ±¿àÖÔÏî¡¿1¡¢½öÓÃÓÚ¾²Âö×¢É䣬©ÓÚÆ¤Ï¿ɵ¼ÖÂ×éÖ¯»µËÀ¡¢·äÎÑÖ¯Ñס£Ò»µ©Â©³ö»ò¿ÉÒɱí©£¬Ó¦Á¢¼´ÖÕ³¡ÊäÒº£¬²¢ÓèÏàÓ¦´¦ÖÃ(²Î¿¼µª½æ±í©µÄ´¦ÖÃ)¡£2¡¢Ô¤·ÀÒ©Òº½¦ÈëÑÛÄÚ£¬Ò»µ©·¢ÉúÓ¦Á¢¼´ÓôóÁ¿ÉúÀíÑÎË®³åË¢£¬ÒÔÀ´ÀûÓõØÈûÃ×ËÉÑ۸ౣ»¤¡£3¡¢Í»Èë¾²ÂöʱԤ·ÀÈÕ¹âÖ±½ÓÕÕÉä¡£4¡¢¸ÎÖ°ÄÜÒ쳣ʱ¼õÁ¿Ê¹Óá£
¡¾Ôи¾¼°²¸ÈéÆÚ¸¾Å®ÓÃÒ©¡¿Éв»Ã÷È·¡£
¡¾¶ùͯÓÃÒ©¡¿Éв»Ã÷È·¡£
¡¾ÀÏÄêÓÃÒ©¡¿Éв»Ã÷È·¡£
¡¾Ò©ÎïÏ໥×÷Óá¿1¡¢ßÁ¿©ÏµÁп¹Õæ¾ú¼Á(ÒÁÇú¿µßò)£¬Ôö³¤¼¡ÈâÉñ¾ÏµÍ³µÄ¸±×÷Óá£Èç·¢ÏÖÓи±×÷Óã¬Ó¦½øÐмõÁ¿¡¢ÔÝÍ£»òÍ£Ò©µÈÊʵ±´¦Öá£ÒÁÇú¿µßòÓйÊÕϸÎϸ°ûÉ«ËØP-450 3AµÄ×÷Ó㬳¤´ºÐ¼îͨ¹ý¸Îϸ°ûÈ¾É«ËØP-450 3A´úл£¬ºÏÓÿÉʹ³¤´ºÐ¼î´úлÊÜÒÖÔì¡£2¡¢Óë±½Í×ӢįºÏÓ㬽µµÍ±½Í×ӢįÎüÊÕ£¬»òʹ´úл¿º½ø¡£3¡¢Ó뺬²¬µÄ¿¹ÑÇ¡¢¶ñÐÔÖ×Áö¼ÁºÏÓ㬿ÉÄܼÓÇ¿µÚ8¶ÔÄÔÉñ¾×è°¡£4¡¢ÓëL-Ì춬õ£°·Ã¸ºÏÓ㬿ÉÄܼÓÇ¿Éñ¾ÏµÍ³¼°ÑªÒºÏµÍ³µÄ×è°¡£Îª½«¶¾ÐÔ½ÚÔìµ½×îÓ×£¬¿É½«ÁòË᳤´ºÐ¼îÔÚL-Ì춬õ£°·Ã¸¸øÒ©Ç°12¡«24Ó×ʱÒÔǰʹÓá£
¡¾Ò©Îï¹ýÁ¿¡¿Éв»Ã÷È·¡£
¡¾Ò©Àí¶¾Àí¡¿³¤´ºÐ¼îΪ¼ÐÖñÌÒ¿ÆÖ²Îﳤ´º»¨ÖÐÌáÈ¡µÄÓÐЧ³É·Ö¡£¿¹Ö×Áö×÷ÓðеãÊÇ΢¹Ü£¬ÖØÒªÒÖÔì΢¹Üµ°°×µÄ¾ÛºÏ¶øÓ°Ïì·Ä´¸Ìå΢¹ÜµÄÐγɡ£Ê¹ÓÐË¿¸îÁÑÖÕ³¡ÓÚÖÐÆÚ¡£»¹¿É×ÌÈŵ°°×ÖÊ´úл¼°ÒÖÔìRNA¶à¾ÛøµÄ»îÁ¦£¬²¢ÒÖÔìϸ°ûĤÀàÖ¬ÖʵĺϳɺͰ±»ùËáÔÚϸ°ûĤÉϵÄתÔË¡£³¤´ºÐ¼î¶ÔÒÆÖ²ÐÔÖ×ÁöµÄÒÖÔì×÷ÓôóÓÚ³¤´º»¨¼îÇÒ¿¹ÁöÆ×¹ã¡£³ý¶Ô³¤´º»¨¼îÃô¸ÐµÄÁöÖêÓÐЧ±í£¬¶ÔÓ×ÊóRidgeway³É¹Ç׸Áö¡¢MeccaÁܰÍ׸Áö¡¢X-5563¹ÇËèÁöµÈÒ²ÓÐ×÷Óᣳ¤´ºÐ¼³¤´º»¨¼îºÍ³¤´ºµØÐÁÈýÕß¼äÎÞ½»²æÄÍÒ©¾°Ï󣬳¤´ºÐ¼îÉñ¾¶¾ÐÔÔÚÈýÕßÖÐ×îÇ¿¡£
¡¾Ò©´ú¶¯Á¦Ñ§¡¿¾²×¢³¤´ºÐ¼îºóѸËÙÉ¢²¼ÓÚ¸÷×éÖ¯£¬Éñ¾Ï¸°ûÄÚŨ¶È½Ï¸ß£¬ºÜÉÙ͸¹ýѪÄÔ·®À飬ÄÔ¼¹ÒºÅ¨¶ÈÊÇѪ½¬Å¨¶ÈµÄ1/30¡«1/20¡£µ°°×½áºÏÂÊ75%¡£ÔÚ³ÉÈË£¬T1/2¦ÁÓ×ÓÚ5·ÖÖÓ£¬T1/2¦ÂΪ50¡«155·ÖÖÓ£¬Ä©ÉÒ½â³ýÏàT1/2¦Ã³¤´ï85Ó×ʱ¡£ÔÚ¸ÎÄÚ´úл£¬ÔÚµ¨ÖÖÐŨ¶È×î¸ß£¬ÖØÒªË浨ÖÅųö£¬·à±ãÉø³ö70%£¬ÄòÖÐÉø³ö5%¡«16%¡£³¤´ºÐ¼îÄÜÑ¡ÔñÐԵؼ¯ÖÐÔÚ°©×éÖ¯£¬¿ÉʹÔöֳϸ°ûͬ²½»¯£¬½ø¶øÊ¹¿¹Ö×ÁöÒ©ÎïÔöЧ¡£
¡¾Öü²Ø¡¿Õڹ⣬Ãܹأ¬ÔÚÀä´¦(2-10¡æ)±£Áô¡£
¡¾°ü×°¡¿Î÷ÁÔì¿×°¡£10Ö§/ºÐ¡£
¡¾ÓÐЧÆÚ¡¿24¸öÔÂ
¡¾Ö´Ðг߶ȡ¿¡¶ÖйúÒ©µä¡·2015Äê°æµÚÒ»²¹³ä±¾
¡¾ºË×¼Îĺš¿¹úÒ©×¼×ÖH14020811
¡¾³ö²úÆóÒµ¡¿ÆóÒµÃû³Æ£ºÉ½Î÷ºã·åg22̩ʢÔìÒ©ÓÐÏÞ¹«Ë¾
³ö²úµØÖ·£ºÉ½Î÷Ê¡°üÍ·Êо¼Ã¼¼Êõ¿ª·¢ÇøµÚÒ»Ò½Ò©Ô°Çø
ÓÊÕþ±àÂ룺037300
µç»°ºÅÂ룺0352¡ª7290991
´«ÕæºÅÂ룺0352¡ª7290990
