jk.zdjt.com.png?v=1
e3125187748c3537d5ab96dd2087be61
×¢ÉäÓÃάÉúËØC
¡¾³É¡¡¡¡·Ý¡¿±¾Æ·ÖØÒª³É·ÝΪάÉúËØC ¡£
¡¾Ö°ÄÜÖ÷ÖΡ¿·ÀÖλµÑª²¡ºÍ¸÷À༱ÂýÐÔ´«È¾ÐÔ¼²²¡¼°×Ïñ°µÈ¸¨ÖúÒ½ÖΣ¬´ó¼ÁÁ¿¾²Âö×¢ÉäÓÃÓÚ¿Ëɽ֢£¬ÐÄÔ´ÐÔÐÝ¿Ëʱ¼±¾È ¡£±¾Æ·Òà¿ÉÓÃÓÚÂýÐÔÌúÖж¾¡¢ÌØ·¢ÐÔ¸ßÌúѪºìµ°°×Ѫ֢µÄÒ½ÖÎ ¡£
¡¾¹æ¡¡¡¡¸ñ¡¿1.0g
¡¾ºË×¼Îĺš¿¹úÒ©×¼×ÖH20063783
²úÆ·×¢Ã÷

¡¾Ò©Æ·Ãû³Æ¡¿Í¨ÓÃÃû³Æ£º×¢ÉäÓÃάÉúËØC

        Ó¢ÎÄÃû³Æ£ºVitamin C for Injection

        ººÓïÆ´Òô£ºZhusheyong WeishengsuC

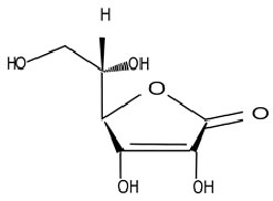
¡¾³É·Ý¡¿±¾Æ·ÖØÒª³É·ÝΪάÉúËØC£¬»¯Ì¨¸¦³ÆÎªL-¿¹»µÑªËá ¡£

Æä½á¹¹Ê½Îª£º

×¢ÉäÓÃάÉúËØC

     ·Ö×Óʽ£ºC6H8O6

     ·Ö×ÓÁ¿£º176.13

     È«Êý¸¨ÁÏÃû³ÆÎª£º¸Ê¶´¼¡¢Ì¼ËáÇâÄÆ¡¢°ëë×°±Ëá¡¢ÑÇÁòËáÇâÄÆ¡¢ÒÒ¶þ°·ËÄÒÒËá¶þÄÆ ¡£

¡¾ÐÔ×´¡¿±¾Æ·Îª°×É«»òÀà°×É«ÊèËÉ¿é×´Îï»ò·ÛÄ©»ò½á¾§ÐÔ·ÛÄ©£»ÎÞ³ô£¬¾ÃÖÃÉ«½¥±ä΢»Æ ¡£

¡¾ÊÊÓ¦Ö¢¡¿ºÏÓÃÓÚ£º·ÀÖλµÑª²¡ºÍ¸÷À༱ÂýÐÔ´«È¾ÐÔ¼²²¡¼°×Ïñ°µÈ¸¨ÖúÒ½ÖΣ¬´ó¼ÁÁ¿¾²Âö×¢ÉäÓÃÓÚ¿Ëɽ֢£¬ÐÄÔ´ÐÔÐÝ¿Ëʱ¼±¾È ¡£±¾Æ·Òà¿ÉÓÃÓÚÂýÐÔÌúÖж¾¡¢ÌØ·¢ÐÔ¸ßÌúѪºìµ°°×Ѫ֢µÄÒ½ÖÎ ¡£ÏÂÁÐÇé¿ö¶ÔάÉúËØCµÄ±ØÒªÁ¿Ôö³¤£º(1)²¡È˽ÓÊÜÂýÐÔѪҺ͸Îö¡¢³¦Î¸Â·¼²²¡(³Ö¾Ã¸¹Ðº¡¢Î¸»ò»Ø³¦ÇгýÊõºó)¡¢½áºË²¡¡¢°©Ö¢¡¢À£Ññ²¡¡¢¼××´ÏÙÖ°ÄÜ¿º½ø¡¢·¢ÈÈ¡¢Ï°È¾¡¢´´ÉË¡¢ÉÕÉË¡¢ÊÖÊõµÈ ¡£(2)ÒòÑϸñ½ÚÔì»òÑ¡ÔñÒûʳ£¬½ÓÊܳ¦Â·±íÓªÑøµÄ²¡ÈË£¬ÒòÓªÑø²»Á¼£¬ÌåÖØÖè½µ£¬ÒÔ¼°ÔÚ»³Ì¥ÆÚºÍ²¸ÈéÆÚ ¡£(3)ÀûÓðͱÈÍ×Àà¡¢ËÄ»·ËØÀࡢˮÑîËáÀà¡¢»òÒÔάÉúËØC×÷ΪÃÚÄòϵͳËữҩʱ ¡£

¡¾¹æ¸ñ¡¿1.0g

¡¾Ó÷¨ÓÃÁ¿¡¿¼¡ÄÚ»ò¾²Âö×¢É䣬³ÉÈËÿ´Î100¡«250mg£¬ÖðÈÕ1¡«3´Î£»³à×ÓÖðÈÕ100¡«300mg£¬·Ö´Î×¢Éä ¡£¾ÈÖοËɽ²¡¿ÉÓôó¼ÁÁ¿£¬Ðè×ñÒ½Öö ¡£

¡¾²»Á¼·´Ó³¡¿1¡¢³Ö¾ÃÀûÓÃÖðÈÕ2¡«3g¿ÉÒýÆðÍ£Ò©ºó»µÑª²¡ ¡£2¡¢³Ö¾ÃÀûÓôóÁ¿Î¬ÉúËØCż¿ÉÒýÆðÄòËáÑΡ¢°ëë×°±ËáÑλò²ÝËáÑνáʯ ¡£3¡¢¼±¾ç¾²Âö×¢Éä¿ÉÒýÆðÍ·ÔΡ¢ÔÎØÊ ¡£

¡¾½û¼É¡¿Éв»Ã÷È· ¡£

¡¾µ±¿àÖÔÏî¡¿1¡¢Î¬ÉúËØC¶ÔÏÂÁÐÇé¿öµÄ×÷ÓÃδ±»Ö¤Êµ£ºÔ¤·À»òÒ½Öΰ©Ö¢¡¢ÑÀö¸Ñס¢»¯Å§¡¢³öѪ¡¢ÑªÄò¡¢ÊÓÍøÄ¤³öѪ¡¢ÒÖÓôÖ¢¡¢ÖûÑÀ¡¢ÑªÐé¡¢ðî´¯¡¢²»ÓýÖ¢¡¢Ë¥ÀÏ¡¢¶¯ÂöÓ²»¯¡¢À£Ññ²¡¡¢½áºË¡¢Á¡¼²¡¢½ºÔ­ÐÔ¼²²¡¡¢¹ÇÕÛ¡¢Æ¤·ôÀ£Ññ¡¢¿Ý²ÝÈÈ¡¢Ò©ÎïÖж¾¡¢Ñª¹Ü˨Èû¡¢¸ÐðµÈ ¡£2¡¢¶ÔÕï¶ÏµÄ×ÌÈÅ ¡£´óÁ¿·þÓý«Ó°ÏìÒÔÏÂÕï¶ÏÐÔÊÔÑéµÄÁ˾֣º(1)´ó±ãÒþѪ¿ÉÖ¼ÙÑôÐÔ ¡£(2)ÄÜ×ÌÈÅѪÇåÈéËáÍÑÇâøºÍѪÇå°±»ù×ªÒÆÃ¸Å¨¶ÈµÄ×Ô¶¯·ÖÎöÁ˾Ö ¡£(3)ÄòÌÇ(ÁòËáÍ­·¨)¡¢ÆÏÌÑÌÇ(Ñõ»¯Ã¸·¨)¾ù¿ÉÖ¼ÙÑôÐÔ ¡£(4)ÄòÖвÝËáÑΡ¢ÄòËáÑκͰëë×°±ËáµÈŨ¶ÈÔö¸ß ¡£(5)ѪÇ嵨ºìËØÅ¨¶È½µÂä ¡£(6)ÄòpH½µÂä ¡£3¡¢ÏÂÁÐÇé¿öÓ¦É÷Óãº(1)°ëë×°±ËáÄòÖ¢ ¡£(2)Í´·ç ¡£(3)¸ß²ÝËáÑÎÄòÖ¢ ¡£(4)²ÝËáÑγÁ»ýÖ¢ ¡£(5)ÄòËáÑÎÐÔÉö½áʯ ¡£(6)ÌÇÄò²¡(ÒòάÉúËØC¿ÉÄÜ×ÌÈÅѪÌǶ¨Á¿) ¡£(7)ÆÏÌÑÌÇ-6-Á×ËáÍÑÇâø²»×ãÖ¢ ¡£(8)³àÉ«²¡ ¡£(9)ÌúÁ£Ó×ϸ°ûÐÔѪÐé»òµØÖк£ÑªÐé ¡£(10)Á­Ðκìϸ°ûѪÐé ¡£4¡¢³Ö¾Ã´óÁ¿·þÓúöȻͣҩ£¬ÓпÉÄܳöÏÖ»µÑª²¡Ö¢×´£¬¹ÊÒËÖð²½¼õÁ¿Í£Ò© ¡£

¡¾Ôи¾¼°²¸ÈéÆÚ¸¾Å®ÓÃÒ©¡¿±¾Æ·¿Éͨ¹ýÌ¥ÅÌ£¬ÅÅйÈëÈéÖ­ ¡£Ôи¾´ó¼ÁÁ¿·þÓÃʱ£¬»¹¿É²úÉúÓ¤¶ù»µÑª²¡ ¡£

¡¾¶ùͯÓÃÒ©¡¿ÍƼö´¶ÊÂÖðÈÕÉãÈëÁ¿(RDA£¬1980)£º4¡«6Ëê³à×Ó45mg£¬7ËêÒÔÉϰ´³ÉÈ˼Æ60mg£¬Î´¾­Ö¤ÊµÓÐЧʱ£¬²»ÒËÀûÓôóÓÚ10±¶ÉÏÊö¼ÁÁ¿ ¡£

¡¾ÀÏÄêÓÃÒ©¡¿Éв»Ã÷È· ¡£

¡¾Ò©ÎïÏ໥×÷Óá¿1¡¢´ó¼ÁÁ¿Î¬ÉúËØC¿É×ÌÈÅ¿¹ÄýÒ©µÄ¿¹Äý³ÉЧ ¡£2¡¢Óë°Í±ÈÍ×»òÆËÃ×ͪµÈºÏÓ㬿ɴÙʹάÉúËØCµÄÉø³öÔö³¤ ¡£3¡¢ÏËÎ¬ËØÁ×ËáÄÆ¿É´ÙʹάÉúËØC´úлΪ²ÝËáÑÎ ¡£4¡¢³Ö¾Ã»ò´óÁ¿ÀûÓÃάÉúËØCʱ£¬ÄÜ×ÌÈÅË«ÁòÂØ¶ÔÒÒ´¼µÄ×÷Óà ¡£5¡¢Ë®ÑîËáÀàÄÜÔö³¤Î¬ÉúËØCµÄÉø³ö ¡£6¡¢²»ÒËÓë¼îÐÔÒ©Îï(È簱ݱ¼î¡¢Ì¼ËáÇâÄÆ¡¢¹È°±ËáÄÆµÈ)¡¢ºË»ÆËØ¡¢ÈýÂÈÊå¶¡´¼¡¢Í­¡¢ÌúÀë×Ó(΢Á¿)µÄÈÜÒºÅäÎ飬ÒÔÃâÓ°ÏìÁÆÐ§ ¡£7¡¢ÓëάÉúËØK3ÅäÎ飬ÒòºóÕßÓÐÑõ»¯ÐÔ£¬¿É²úÉúÑõ»¯»¹Ô­·´Ó³£¬Ê¹Á½ÕßÁÆÐ§¼õÈõ»òÒþû ¡£8¡¢±¾Æ·Óë°±²è¼î¡¢²©À´Ã¹ËØ¡¢Í·æßßòÁÖ¡¢Í·æßÆ¥ßø¡¢½áºÏ´Æ¼¤ËØ¡¢ÓÒÐýÌÇôû¡¢¶àɳÆÕÂØ¡¢ºìÃ¹ËØ¡¢¼×ÑõÃ¹ËØ¡¢ÇàÃ¹ËØG¡¢Î¬ÉúËØK¡¢»ª·¨ÁÖ¡¢ÖØÌ¼ËáÄÆÅäÎé½û¼É ¡£

¡¾Ò©Îï¹ýÁ¿¡¿ÖðÈÕ1¡«4g£¬¿ÉÒýÆð¸¹Ðº¡¢Æ¤ÕθËáÔö¶à¡¢Î¸Òº·´Á÷£¬ÓÐʱÉпɼûÃÚÄòϵͳ½áʯ¡¢ÄòÄÚ²ÝËáÑÎÓëÄòËáÑÎÅųöÔö¶à¡¢Éî¾²ÂöѪ˨Ðγɡ¢Ñª¹ÜÄÚÈÜѪ»òÄýѪµÈ£¬ÓÐʱ¿Éµ¼Ö°×ϸ°ûÍÌÊÉÄÜÁ¦½µµÍ ¡£ÖðÈÕÓÃÁ¿³¬¹ý5gʱ£¬¿Éµ¼ÖÂÈÜѪ£¬ÖØÕß¿ÉÖÂÃü ¡£

¡¾Ò©Àí¶¾Àí¡¿±¾Æ·ÎªÎ¬ÉúËØÀàÒ© ¡£Î¬ÉúËØC²Î¼Ó°±»ùËá´úл¡¢Éñ¾­µÝÖʵĺϳɡ¢½ºÔ­µ°°×ºÍ×é֯ϸ°û¼äÖʵĺϳÉ£¬¿É½µµÍëϸѪ¹ÜµÄͨ͸ÐÔ£¬¼Ó¿ìѪҺµÄÄý¹Ì£¬´Ì¼¤ÄýѪְÄÜ£¬ÍƽøÌúÔÚ³¦ÄÚÎüÊÕ£¬´ÙʹѪ֬½µÂ䣬Ôö³¤¶ÔϰȾµÄµÖ¿¹Á¦£¬²Î¼Ó½â¶¾Ö°ÄÜ£¬ÇÒÓп¹×é°·µÄ×÷Óü°×èÖ¹Ö°©ÎïÖÊ(ÑÇÏõ°·)ÌìÉúµÄ×÷Óà ¡£

¡¾Ò©´ú¶¯Á¦Ñ§¡¿µ°°×½áºÏÂʵÍ ¡£ÉÙÁ¿Öü²ØÓÚѪ½¬ºÍϸ°û£¬ÒÔÏÙÌå×éÖ¯ÄÚµÄŨ¶ÈΪ×î¸ß ¡£¸ÎÄÚ´úл ¡£¼«ÉÙÊýÒÔÕæÏàÎï»ò´úлÎï¾­ÉöÉø³ö£¬µ±Ñª½¬Å¨¶È>14¦Ìg/mlʱ£¬ÄòÄÚÅųöÁ¿Ôö¶à ¡£¿É¾­ÑªÒºÍ¸Îö¶Ï¸ù ¡£

¡¾Öü²Ø¡¿Õڹ⣬ÃܹØ(10¡«30¡æ)±£Áô ¡£

¡¾°ü×°¡¿Î÷ÁÔì¿×° ¡£10Ö§/ºÐ ¡£

¡¾ÓÐЧÆÚ¡¿24¸öÔÂ ¡£

¡¾Ö´Ðг߶ȡ¿wS-10001-(HD-0070)-2002-2011

¡¾ºË×¼Îĺš¿¹úÒ©×¼×ÖH20063783

¡¾ÉÏÊÐÐí¿É³ÖÓÐÈË¡¿Ãû³Æ£ºÉ½Î÷ºã·åg22̩ʢÔìÒ©ÓÐÏÞ¹«Ë¾

            ×¢²áµØÖ·£ºÉ½Î÷Ê¡°üÍ·Êо­¼Ã¼¼Êõ¿ª·¢ÇøµÚÒ»Ò½Ò©Ô°Çø

¡¾³ö²úÆóÒµ¡¿ÆóÒµÃû³Æ£ºÉ½Î÷ºã·åg22̩ʢÔìÒ©ÓÐÏÞ¹«Ë¾

        ³ö²úµØÖ·£ºÉ½Î÷Ê¡°üÍ·Êо­¼Ã¼¼Êõ¿ª·¢ÇøµÚÒ»Ò½Ò©Ô°Çø

        ÓÊÕþ±àÂ룺037300

        µç»°ºÅÂ룺0352¡ª7290991

        ´«ÕæºÅÂ룺0352¡ª7290990

e3125187748c3537d5ab96dd2087be61
×¢ÉäÓÃάÉúËØC
¡¾³É¡¡¡¡·Ý¡¿±¾Æ·ÖØÒª³É·ÝΪάÉúËØC ¡£
¡¾Ö°ÄÜÖ÷ÖΡ¿·ÀÖλµÑª²¡ºÍ¸÷À༱ÂýÐÔ´«È¾ÐÔ¼²²¡¼°×Ïñ°µÈ¸¨ÖúÒ½ÖΣ¬´ó¼ÁÁ¿¾²Âö×¢ÉäÓÃÓÚ¿Ëɽ֢£¬ÐÄÔ´ÐÔÐÝ¿Ëʱ¼±¾È ¡£±¾Æ·Òà¿ÉÓÃÓÚÂýÐÔÌúÖж¾¡¢ÌØ·¢ÐÔ¸ßÌúѪºìµ°°×Ѫ֢µÄÒ½ÖÎ ¡£
¡¾¹æ¡¡¡¡¸ñ¡¿1.0g
¡¾ºË×¼Îĺš¿¹úÒ©×¼×ÖH20063783
²úÆ·×¢Ã÷

¡¾Ò©Æ·Ãû³Æ¡¿Í¨ÓÃÃû³Æ£º×¢ÉäÓÃάÉúËØC

        Ó¢ÎÄÃû³Æ£ºVitamin C for Injection

        ººÓïÆ´Òô£ºZhusheyong WeishengsuC

¡¾³É·Ý¡¿±¾Æ·ÖØÒª³É·ÝΪάÉúËØC£¬»¯Ì¨¸¦³ÆÎªL-¿¹»µÑªËá ¡£

Æä½á¹¹Ê½Îª£º

×¢ÉäÓÃάÉúËØC

     ·Ö×Óʽ£ºC6H8O6

     ·Ö×ÓÁ¿£º176.13

     È«Êý¸¨ÁÏÃû³ÆÎª£º¸Ê¶´¼¡¢Ì¼ËáÇâÄÆ¡¢°ëë×°±Ëá¡¢ÑÇÁòËáÇâÄÆ¡¢ÒÒ¶þ°·ËÄÒÒËá¶þÄÆ ¡£

¡¾ÐÔ×´¡¿±¾Æ·Îª°×É«»òÀà°×É«ÊèËÉ¿é×´Îï»ò·ÛÄ©»ò½á¾§ÐÔ·ÛÄ©£»ÎÞ³ô£¬¾ÃÖÃÉ«½¥±ä΢»Æ ¡£

¡¾ÊÊÓ¦Ö¢¡¿ºÏÓÃÓÚ£º·ÀÖλµÑª²¡ºÍ¸÷À༱ÂýÐÔ´«È¾ÐÔ¼²²¡¼°×Ïñ°µÈ¸¨ÖúÒ½ÖΣ¬´ó¼ÁÁ¿¾²Âö×¢ÉäÓÃÓÚ¿Ëɽ֢£¬ÐÄÔ´ÐÔÐÝ¿Ëʱ¼±¾È ¡£±¾Æ·Òà¿ÉÓÃÓÚÂýÐÔÌúÖж¾¡¢ÌØ·¢ÐÔ¸ßÌúѪºìµ°°×Ѫ֢µÄÒ½ÖÎ ¡£ÏÂÁÐÇé¿ö¶ÔάÉúËØCµÄ±ØÒªÁ¿Ôö³¤£º(1)²¡È˽ÓÊÜÂýÐÔѪҺ͸Îö¡¢³¦Î¸Â·¼²²¡(³Ö¾Ã¸¹Ðº¡¢Î¸»ò»Ø³¦ÇгýÊõºó)¡¢½áºË²¡¡¢°©Ö¢¡¢À£Ññ²¡¡¢¼××´ÏÙÖ°ÄÜ¿º½ø¡¢·¢ÈÈ¡¢Ï°È¾¡¢´´ÉË¡¢ÉÕÉË¡¢ÊÖÊõµÈ ¡£(2)ÒòÑϸñ½ÚÔì»òÑ¡ÔñÒûʳ£¬½ÓÊܳ¦Â·±íÓªÑøµÄ²¡ÈË£¬ÒòÓªÑø²»Á¼£¬ÌåÖØÖè½µ£¬ÒÔ¼°ÔÚ»³Ì¥ÆÚºÍ²¸ÈéÆÚ ¡£(3)ÀûÓðͱÈÍ×Àà¡¢ËÄ»·ËØÀࡢˮÑîËáÀà¡¢»òÒÔάÉúËØC×÷ΪÃÚÄòϵͳËữҩʱ ¡£

¡¾¹æ¸ñ¡¿1.0g

¡¾Ó÷¨ÓÃÁ¿¡¿¼¡ÄÚ»ò¾²Âö×¢É䣬³ÉÈËÿ´Î100¡«250mg£¬ÖðÈÕ1¡«3´Î£»³à×ÓÖðÈÕ100¡«300mg£¬·Ö´Î×¢Éä ¡£¾ÈÖοËɽ²¡¿ÉÓôó¼ÁÁ¿£¬Ðè×ñÒ½Öö ¡£

¡¾²»Á¼·´Ó³¡¿1¡¢³Ö¾ÃÀûÓÃÖðÈÕ2¡«3g¿ÉÒýÆðÍ£Ò©ºó»µÑª²¡ ¡£2¡¢³Ö¾ÃÀûÓôóÁ¿Î¬ÉúËØCż¿ÉÒýÆðÄòËáÑΡ¢°ëë×°±ËáÑλò²ÝËáÑνáʯ ¡£3¡¢¼±¾ç¾²Âö×¢Éä¿ÉÒýÆðÍ·ÔΡ¢ÔÎØÊ ¡£

¡¾½û¼É¡¿Éв»Ã÷È· ¡£

¡¾µ±¿àÖÔÏî¡¿1¡¢Î¬ÉúËØC¶ÔÏÂÁÐÇé¿öµÄ×÷ÓÃδ±»Ö¤Êµ£ºÔ¤·À»òÒ½Öΰ©Ö¢¡¢ÑÀö¸Ñס¢»¯Å§¡¢³öѪ¡¢ÑªÄò¡¢ÊÓÍøÄ¤³öѪ¡¢ÒÖÓôÖ¢¡¢ÖûÑÀ¡¢ÑªÐé¡¢ðî´¯¡¢²»ÓýÖ¢¡¢Ë¥ÀÏ¡¢¶¯ÂöÓ²»¯¡¢À£Ññ²¡¡¢½áºË¡¢Á¡¼²¡¢½ºÔ­ÐÔ¼²²¡¡¢¹ÇÕÛ¡¢Æ¤·ôÀ£Ññ¡¢¿Ý²ÝÈÈ¡¢Ò©ÎïÖж¾¡¢Ñª¹Ü˨Èû¡¢¸ÐðµÈ ¡£2¡¢¶ÔÕï¶ÏµÄ×ÌÈÅ ¡£´óÁ¿·þÓý«Ó°ÏìÒÔÏÂÕï¶ÏÐÔÊÔÑéµÄÁ˾֣º(1)´ó±ãÒþѪ¿ÉÖ¼ÙÑôÐÔ ¡£(2)ÄÜ×ÌÈÅѪÇåÈéËáÍÑÇâøºÍѪÇå°±»ù×ªÒÆÃ¸Å¨¶ÈµÄ×Ô¶¯·ÖÎöÁ˾Ö ¡£(3)ÄòÌÇ(ÁòËáÍ­·¨)¡¢ÆÏÌÑÌÇ(Ñõ»¯Ã¸·¨)¾ù¿ÉÖ¼ÙÑôÐÔ ¡£(4)ÄòÖвÝËáÑΡ¢ÄòËáÑκͰëë×°±ËáµÈŨ¶ÈÔö¸ß ¡£(5)ѪÇ嵨ºìËØÅ¨¶È½µÂä ¡£(6)ÄòpH½µÂä ¡£3¡¢ÏÂÁÐÇé¿öÓ¦É÷Óãº(1)°ëë×°±ËáÄòÖ¢ ¡£(2)Í´·ç ¡£(3)¸ß²ÝËáÑÎÄòÖ¢ ¡£(4)²ÝËáÑγÁ»ýÖ¢ ¡£(5)ÄòËáÑÎÐÔÉö½áʯ ¡£(6)ÌÇÄò²¡(ÒòάÉúËØC¿ÉÄÜ×ÌÈÅѪÌǶ¨Á¿) ¡£(7)ÆÏÌÑÌÇ-6-Á×ËáÍÑÇâø²»×ãÖ¢ ¡£(8)³àÉ«²¡ ¡£(9)ÌúÁ£Ó×ϸ°ûÐÔѪÐé»òµØÖк£ÑªÐé ¡£(10)Á­Ðκìϸ°ûѪÐé ¡£4¡¢³Ö¾Ã´óÁ¿·þÓúöȻͣҩ£¬ÓпÉÄܳöÏÖ»µÑª²¡Ö¢×´£¬¹ÊÒËÖð²½¼õÁ¿Í£Ò© ¡£

¡¾Ôи¾¼°²¸ÈéÆÚ¸¾Å®ÓÃÒ©¡¿±¾Æ·¿Éͨ¹ýÌ¥ÅÌ£¬ÅÅйÈëÈéÖ­ ¡£Ôи¾´ó¼ÁÁ¿·þÓÃʱ£¬»¹¿É²úÉúÓ¤¶ù»µÑª²¡ ¡£

¡¾¶ùͯÓÃÒ©¡¿ÍƼö´¶ÊÂÖðÈÕÉãÈëÁ¿(RDA£¬1980)£º4¡«6Ëê³à×Ó45mg£¬7ËêÒÔÉϰ´³ÉÈ˼Æ60mg£¬Î´¾­Ö¤ÊµÓÐЧʱ£¬²»ÒËÀûÓôóÓÚ10±¶ÉÏÊö¼ÁÁ¿ ¡£

¡¾ÀÏÄêÓÃÒ©¡¿Éв»Ã÷È· ¡£

¡¾Ò©ÎïÏ໥×÷Óá¿1¡¢´ó¼ÁÁ¿Î¬ÉúËØC¿É×ÌÈÅ¿¹ÄýÒ©µÄ¿¹Äý³ÉЧ ¡£2¡¢Óë°Í±ÈÍ×»òÆËÃ×ͪµÈºÏÓ㬿ɴÙʹάÉúËØCµÄÉø³öÔö³¤ ¡£3¡¢ÏËÎ¬ËØÁ×ËáÄÆ¿É´ÙʹάÉúËØC´úлΪ²ÝËáÑÎ ¡£4¡¢³Ö¾Ã»ò´óÁ¿ÀûÓÃάÉúËØCʱ£¬ÄÜ×ÌÈÅË«ÁòÂØ¶ÔÒÒ´¼µÄ×÷Óà ¡£5¡¢Ë®ÑîËáÀàÄÜÔö³¤Î¬ÉúËØCµÄÉø³ö ¡£6¡¢²»ÒËÓë¼îÐÔÒ©Îï(È簱ݱ¼î¡¢Ì¼ËáÇâÄÆ¡¢¹È°±ËáÄÆµÈ)¡¢ºË»ÆËØ¡¢ÈýÂÈÊå¶¡´¼¡¢Í­¡¢ÌúÀë×Ó(΢Á¿)µÄÈÜÒºÅäÎ飬ÒÔÃâÓ°ÏìÁÆÐ§ ¡£7¡¢ÓëάÉúËØK3ÅäÎ飬ÒòºóÕßÓÐÑõ»¯ÐÔ£¬¿É²úÉúÑõ»¯»¹Ô­·´Ó³£¬Ê¹Á½ÕßÁÆÐ§¼õÈõ»òÒþû ¡£8¡¢±¾Æ·Óë°±²è¼î¡¢²©À´Ã¹ËØ¡¢Í·æßßòÁÖ¡¢Í·æßÆ¥ßø¡¢½áºÏ´Æ¼¤ËØ¡¢ÓÒÐýÌÇôû¡¢¶àɳÆÕÂØ¡¢ºìÃ¹ËØ¡¢¼×ÑõÃ¹ËØ¡¢ÇàÃ¹ËØG¡¢Î¬ÉúËØK¡¢»ª·¨ÁÖ¡¢ÖØÌ¼ËáÄÆÅäÎé½û¼É ¡£

¡¾Ò©Îï¹ýÁ¿¡¿ÖðÈÕ1¡«4g£¬¿ÉÒýÆð¸¹Ðº¡¢Æ¤ÕθËáÔö¶à¡¢Î¸Òº·´Á÷£¬ÓÐʱÉпɼûÃÚÄòϵͳ½áʯ¡¢ÄòÄÚ²ÝËáÑÎÓëÄòËáÑÎÅųöÔö¶à¡¢Éî¾²ÂöѪ˨Ðγɡ¢Ñª¹ÜÄÚÈÜѪ»òÄýѪµÈ£¬ÓÐʱ¿Éµ¼Ö°×ϸ°ûÍÌÊÉÄÜÁ¦½µµÍ ¡£ÖðÈÕÓÃÁ¿³¬¹ý5gʱ£¬¿Éµ¼ÖÂÈÜѪ£¬ÖØÕß¿ÉÖÂÃü ¡£

¡¾Ò©Àí¶¾Àí¡¿±¾Æ·ÎªÎ¬ÉúËØÀàÒ© ¡£Î¬ÉúËØC²Î¼Ó°±»ùËá´úл¡¢Éñ¾­µÝÖʵĺϳɡ¢½ºÔ­µ°°×ºÍ×é֯ϸ°û¼äÖʵĺϳÉ£¬¿É½µµÍëϸѪ¹ÜµÄͨ͸ÐÔ£¬¼Ó¿ìѪҺµÄÄý¹Ì£¬´Ì¼¤ÄýѪְÄÜ£¬ÍƽøÌúÔÚ³¦ÄÚÎüÊÕ£¬´ÙʹѪ֬½µÂ䣬Ôö³¤¶ÔϰȾµÄµÖ¿¹Á¦£¬²Î¼Ó½â¶¾Ö°ÄÜ£¬ÇÒÓп¹×é°·µÄ×÷Óü°×èÖ¹Ö°©ÎïÖÊ(ÑÇÏõ°·)ÌìÉúµÄ×÷Óà ¡£

¡¾Ò©´ú¶¯Á¦Ñ§¡¿µ°°×½áºÏÂʵÍ ¡£ÉÙÁ¿Öü²ØÓÚѪ½¬ºÍϸ°û£¬ÒÔÏÙÌå×éÖ¯ÄÚµÄŨ¶ÈΪ×î¸ß ¡£¸ÎÄÚ´úл ¡£¼«ÉÙÊýÒÔÕæÏàÎï»ò´úлÎï¾­ÉöÉø³ö£¬µ±Ñª½¬Å¨¶È>14¦Ìg/mlʱ£¬ÄòÄÚÅųöÁ¿Ôö¶à ¡£¿É¾­ÑªÒºÍ¸Îö¶Ï¸ù ¡£

¡¾Öü²Ø¡¿Õڹ⣬ÃܹØ(10¡«30¡æ)±£Áô ¡£

¡¾°ü×°¡¿Î÷ÁÔì¿×° ¡£10Ö§/ºÐ ¡£

¡¾ÓÐЧÆÚ¡¿24¸öÔÂ ¡£

¡¾Ö´Ðг߶ȡ¿wS-10001-(HD-0070)-2002-2011

¡¾ºË×¼Îĺš¿¹úÒ©×¼×ÖH20063783

¡¾ÉÏÊÐÐí¿É³ÖÓÐÈË¡¿Ãû³Æ£ºÉ½Î÷ºã·åg22̩ʢÔìÒ©ÓÐÏÞ¹«Ë¾

            ×¢²áµØÖ·£ºÉ½Î÷Ê¡°üÍ·Êо­¼Ã¼¼Êõ¿ª·¢ÇøµÚÒ»Ò½Ò©Ô°Çø

¡¾³ö²úÆóÒµ¡¿ÆóÒµÃû³Æ£ºÉ½Î÷ºã·åg22̩ʢÔìÒ©ÓÐÏÞ¹«Ë¾

        ³ö²úµØÖ·£ºÉ½Î÷Ê¡°üÍ·Êо­¼Ã¼¼Êõ¿ª·¢ÇøµÚÒ»Ò½Ò©Ô°Çø

        ÓÊÕþ±àÂ룺037300

        µç»°ºÅÂ룺0352¡ª7290991

        ´«ÕæºÅÂ룺0352¡ª7290990