jk.zdjt.com.png?v=1
dcf3ab353602978b710b0cf80ca015fd
×¢ÉäÓÃÍ·æßÇúËÉÄÆ
¡¾³É¡¡¡¡·Ý¡¿±¾Æ·ÖØÒª³É·ÝΪͷæßÇúËÉÄÆ¡£
¡¾Ö°ÄÜÖ÷ÖΡ¿ÓÃÓÚÃô¸ÐÖ²¡¾úËùÖµÄϺôÎü·ϰȾ¡¢Äò·¡¢µ¨Â·Ï°È¾ £¬ÒÔ¼°¸¹Ç»Ï°È¾¡¢ÅèǻϰȾ¡¢Æ¤·ôÈí×é֯ϰȾ¡¢¹ÇºÍ¹Ø½ÚϰȾ¡¢°ÜѪ֢¡¢ÄÔĤÑ׵ȼ°ÊÖÊõÆÚϰȾԤ·À¡£±¾Æ·µ¥¼Á¿ÉÒ½Öε¥´¿ÐÔÁܲ¡¡£
¡¾¹æ¡¡¡¡¸ñ¡¿°´C18H18N8O7S3¼Æ1.0g
¡¾ºË×¼Îĺš¿¹úÒ©×¼×ÖH14020693
²úÆ·×¢Ã÷

¡¾Ò©Æ·Ãû³Æ¡¿Í¨ÓÃÃû³Æ£º×¢ÉäÓÃÍ·æßÇúËÉÄÆ

        Ó¢ÎÄÃû³Æ£ºCeftriaxone Sodium for Injection

        ººÓïÆ´Òô£ºZhusheyong Toubaoqusongna

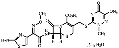
¡¾³É·Ý¡¿±¾Æ·ÖØÒª³É·ÝΪͷæßÇúËÉÄÆ¡£Æä»¯Ì¨¸¦³ÆÎª£º(6R £¬7R)-7-[[(2Z)-(2-°±»ùàçßò-4-»ù)£¨¼×Ñõ»ùÑǰ±»ù)ÒÒõ£»ù]°±»ù]-3-[[(2-¼×»ù-6-ôÇ»ù-5-Ñõ´ú-2 £¬5-¶þÇâ-1 £¬2 £¬4-Èýàº-3-»ù£©Áò»ù]¼×»ù]-8-Ñõ´ú-5-ÁòÔÓ-1-µªÔÓË«»·[4.2.0]ÐÁ-2-Ï©-2-ôÈËá¶þÄÆÑÎÈý±¶°ëË®ºÏÎï¡£

     Æä»¯Ñ§½á¹¹Ê½£º

×¢ÉäÓÃÍ·æßÇúËÉÄÆ

     ·Ö×Óʽ£ºC18H16N8Na2O7S3¡¤3?H2O

     ·Ö×ÓÁ¿£º661.59

¡¾ÐÔ×´¡¿±¾Æ·Îª°×É«»òÀà°×É«½á¾§ÐÔ·ÛÄ©£»ÎÞ³ô¡£

¡¾ÊÊÓ¦Ö¢¡¿ÓÃÓÚÃô¸ÐÖ²¡¾úËùÖµÄϺôÎü·ϰȾ¡¢Äò·¡¢µ¨Â·Ï°È¾ £¬ÒÔ¼°¸¹Ç»Ï°È¾¡¢ÅèǻϰȾ¡¢Æ¤·ôÈí×é֯ϰȾ¡¢¹ÇºÍ¹Ø½ÚϰȾ¡¢°ÜѪ֢¡¢ÄÔĤÑ׵ȼ°ÊÖÊõÆÚϰȾԤ·À¡£±¾Æ·µ¥¼Á¿ÉÒ½Öε¥´¿ÐÔÁܲ¡¡£

¡¾¹æ¸ñ¡¿°´C18H16N8Na2O7S3¼Æ1.0g

¡¾Ó÷¨ÓÃÁ¿¡¿¼¡ÄÚ×¢Éä»ò¾²ÂöµÎ×¢¸øÒ©¡£1¡¢¼¡ÄÚ×¢ÉäÈÜÒºµÄÅäÔ죺ÒÔ3.6mlÃð¾ú×¢ÉäÓÃË®¡¢ÂÈ»¯ÄÆ×¢ÉäÒº¡¢5%ÆÏÌÑÌÇ×¢ÉäÒº»ò1%ÑÎËáÀû¶à¿¨Òò²ÎÓë1gƿװÖÐ £¬Ôì³Éÿ1mlº¬250mgÍ·æßÇúËɵÄÈÜÒº¡£2¡¢¾²Âö¸øÒ©ÈÜÒºµÄÅäÔ죺½«9.6mlǰÊöÏ¡ÊÍÒº(³ýÀû¶à¿¨Òò±í)²ÎÓë1gƿװÖÐ £¬Ôì³Éÿ1mlº¬100mgÍ·æßÇúËɵÄÈÜÒºÔÙÓÃ5%ÆÏÌÑÌÇ×¢ÉäÒº»òÂÈ»¯ÄÆ×¢ÉäÒº100¡«250mlÏ¡Êͺó¾²ÂöµÎ×¢¡£³ÉÈ˳£ÓÃÁ¿£º¼¡ÄÚ»ò¾²ÂöµÎ×¢ £¬Ã¿24Ó×ʱ1¡«2g»òÿ12Ó×ʱ0.5¡«1g¡£×î¸ß¼ÁÁ¿Ò»ÈÕ4g¡£ÁƳÌ7¡«14ÈÕ¡£³à×Ó³£ÓÃÁ¿£º¾²ÂöµÎ×¢ £¬°´ÌåÖØÒ»ÈÕ20¡«80mg/kg¡£12ËêÒÔÉϳà×ÓÓóÉÈ˼ÁÁ¿¡£Ò½ÖÎÁܲ¡µÄÍÆ¼ö¼ÁÁ¿Îªµ¥¼Á¼¡ÄÚ×¢Éä0.25g¡£

¡¾²»Á¼·´Ó³¡¿²»Á¼·´Ó³ÓëÒ½ÖεļÁÁ¿¡¢ÁƳÌÓйØ¡£²¿ÃÅ·´Ó³Óо²ÂöÑ×(1.86%) £¬´Ë±í¿ÉÓÐÆ¤Õî¡¢ðþÑ÷¡¢·¢ÈÈ¡¢Ö§Æø¹Ü¾·ÂκÍѪÇ岡µÈ¹ýÃô·´Ó³(2.77%) £¬Í·Í´»òÍ·ÔÎ(0.27%) £¬¸¹Ðº¡¢¶ñÐÄ¡¢Å»Í¡¢¸¹Í´¡¢½á³¦Ñס¢»Æðã¡¢ÕÍÆø¡¢Î¶¾õ×è°­ºÍÏû»¯²»Á¼µÈÏû»¯Â··´Ó³(3.45%)¡£³¢ÊÔÊҲ鳭Òì³£Ô¼19% £¬ÆäÖÐѪҺѧ²é³­Òì³£Õ¼14% £¬Ô̺¬ÊÈËáÐÔÁ£Ï¸°ûÔö¶à £¬ÑªÓ×°åÔö¶à»òÏ÷¼õºÍ°×ϸ°ûÏ÷¼õ¡£¸ÎÉöÖ°ÄÜÒì³£ÕßΪ5%ºÍ1.4%¡£

¡¾½û¼É¡¿³ð¼Òæß¾úËØÀ࿹ÉúËØ¹ýÃôÕß½ûÓá£

¡¾µ±¿àÖÔÏî¡¿1¡¢¸øÒ©Ç°Ðè½øÐйýÃôÊÔÑé¡£2¡¢½»²æ¹ýÃô·´Ó³£º¶ÔÒ»ÖÖÍ·æß¾úËØ»òÍ·Ã¹ËØ(cephamycin)¹ýÃôÕß¶ÔÆäËûÍ·æß¾úËØ»òÍ·Ã¹ËØÒ²¿ÉÄܹýÃô¡£¶ÔÇàÃ¹ËØÀà¡¢ÇàÃ¹ËØÑÜÉúÎï»òÇàù°·¹ýÃôÕßÒ²¿ÉÄܳð¼Òæß¾úËØ»òÍ·Ã¹ËØ¹ýÃô¡£¶ÔÇàÃ¹ËØ¹ýÃô²¡ÈËÀûÓÃÍ·æß¾úËØÊ±·¢Éú¹ýÃô·´Ó³Õß´ï5%~10%£»Èç×÷ÃâÒß·´Ó³²â°´Ê± £¬Ôò¶ÔÇàÃ¹ËØ¹ýÃô²¡È˳ð¼Òæß¾úËØ¹ýÃôÕß´ï20%¡£3¡¢¶ÔÇàÃ¹ËØ¹ýÃô²¡ÈËÀûÓñ¾Æ·Ê±Ó¦Æ¾¾Ý²¡ÈËÇé¿ö³ä·ÖºâÁ¿Àû±×ºó¾ö¶¨¡£ÓÐÇàÃ¹ËØ¹ýÃôÐÔÐݿ˻ò¼´¿Ì·´Ó³Õß £¬²»ÒËÔÙÑ¡ÓÃÍ·æß¾úËØÀà¡£4¡¢ÓÐθ³¦Â·¼²²¡Ê·Õß £¬³ö¸ñÊÇÀ£ÑñÐԽ᳦Ñס¢¾ÖÏÞÐÔ³¦Ñ×»ò¿¹ÉúËØÓйØÐԽ᳦Ñ×(Í·æß¾úËØÀàºÜÉÙ²úÉúαĤÐԽ᳦Ñ×)ÕßÓ¦É÷Óá£5¡¢ÓÉÓÚÍ·æß¾úËØÀà¶¾ÐÔµÍ £¬ËùÒÔÓÐÂýÐԸβ¡»¼ÕßÀûÓñ¾Æ·Ê±²»Ðèµ÷Õû¼ÁÁ¿¡£²¡ÈËÓÐÑÏÖØ¸ÎÉöÇÖº¦»ò¸ÎÓ²»¯ÕßÓ¦µ÷Õû¼ÁÁ¿¡£6¡¢ÉöÖ°Äܲ»È«»¼Õß¼¡ôû¶Ï¸ù´óÓÚ5ml/·ÖÖÓ £¬ÖðÈÕÀûÓñ¾Æ·¼ÁÁ¿ÉÙÓÚ2gʱ £¬²»Ðè×÷¼ÁÁ¿µ÷Õû¡£ÑªÒºÍ¸Îö¶Ïµ××ÓÆ·µÄÁ¿²»¶à £¬Í¸ÎöºóÎÞÐè²¹³ä¼ÁÁ¿¡£7¡¢¶ÔÕï¶ÏµÄ×ÌÈÅ£ºÀûÓñ¾Æ·µÄ»¼ÕßÒÔÁòËáÍ­·¨²âÄòÌÇʱ¿É»ñµÃ¼ÙÑôÐÔ·´Ó³ £¬ÒÔÆÏÌÑÌÇø·¨Áî²»ÊÜÓ°Ï죻ѪÄòËØµªºÍѪÇ弡ôû¿ÉÓÐÁÙʱÐÔÉý¸ß£»ÑªÇ嵨ºìÖÊ¡¢¼îÐÔÁ×Ëáø¡¢±û°±Ëá°±»ù×ªÒÆÃ¸(ALT)ºÍÃŶ¬°±Ëá°±»ù×ªÒÆÃ¸(AST)½Ô¿ÉÉý¸ß¡£8¡¢±¾Æ·µÄ±£ÁôζÈΪ25¡æÒÔÏ¡£9¡¢±¾Æ·²»ÄܲÎÓë¹þÌØÂüÊÏÒÔ¼°ÁÖ¸ñÊϵȺ¬ÓиƵÄÈÜÒºÖÐʹÓá£

¡¾Ôи¾¼°²¸ÈéÆÚ¸¾Å®ÓÃÒ©¡¿Ôи¾ºÍ²¸ÈéÆÚ¸¾Å®ÀûÓÃÍ·æß¾úËØÀàËäÉÐδ¼û·¢ÉúÎÊÌâµÄ»ã±¨ £¬ÆäÀûÓÃÈÔÐëºâÁ¿Àû±×¡£

¡¾¶ùͯÓÃÒ©¡¿ÐÂÉú¶ù(µ®ÉúÌåÖØÓ×ÓÚ2kgÕß)µÄÓÃÒ©°²È«ÉÐδȷ¶¨¡£ÓлÆðãµÄÐÂÉú¶ù»òÓлÆðãÑÏÖØÆ«²îµÄÐÂÉú¶ùÓ¦É÷ÓûòÔ¤·ÀʹÓñ¾Æ·¡£¡¾ÀÏÄêÓÃÒ©¡¿³ý·ÇÀÏÄ껼ÕßÐéÈõ¡¢ÓªÑø²»Á¼»òÓÐÖØ¶ÈÉöÖ°ÄÜÇÖº¦Ê± £¬ÀÏÄêÈËÀûÓÃÍ·æßÇúËÉͨ³£²»Ðèµ÷Õû¼ÁÁ¿¡£

¡¾Ò©ÎïÏ໥×÷Óá¿1¡¢Í·æß¾úËØÀྲÂöÊäÒºÖвÎÓëºìÃ¹ËØ¡¢ËÄ»·ËØ¡¢Á½ÐÔÃ¹ËØB¡¢Ñª¹Ü»îÐÔÒ©(¼äôǰ·¡¢È¥¼×ÉöÉÏÏÙËØµÈ)¡¢±½Í×Ӣį¡¢Âȱûມ¢Òì±ûມ¢Î¬ÉúËØB×塢άÉúËØCµÈʱ½«³öÏÖ»ë×Ç¡£ÓÉÓÚ±¾Æ·µÄÅäÎé½û¼ÉÒ©ÎïÉõ¶à £¬ËùÒÔÓ¦µ¥¶À¸øÒ©¡£2¡¢ÀûÓñ¾Æ·ÆÚ¼äÒû¾Æ»ò·þº¬¾Æ¾«Ò©ÎïʱÔÚ¸ö±ð²¡È˿ɳöÏÖË«ÁòÂØÑù·´Ó³ £¬¹ÊÔÚÀûÓñ¾Æ·ÆÚ¼äºÍÒÔÀ´ÊýÌìÄÚ £¬Ó¦Ô¤·ÀÒû¾ÆºÍ·þº¬¾Æ¾«µÄÒ©Îï¡£

¡¾Ò©Îï¹ýÁ¿¡¿Éв»Ã÷È·¡£

¡¾Ò©Àí¶¾Àí¡¿±¾Æ·ÎªµÚÈý´úÍ·æß¾úËØÀ࿹ÉúËØ¡£¶Ô³¦¸Ë¾ú¿ÆÏ¸¾úÓÐ׳´ó»îÐÔ¡£¶Ô´ó³¦°£Ï£¾ú¡¢·ÎÑ׿ËÀײ®¾ú¡¢²úÆø³¦¸Ë¾ú¡¢·úÀ͵ØèÛéÚËá¸Ë¾ú¡¢ßÅßáÑôÐÔ±äÐθ˾ú¡¢ÆÕ³ÍþµÇ¾úÊôºÍɳÀ×¾úÊôµÄMIC90½éÓÚ0.12~0.25mgLÖ®¼ä¡£°µ¹µ³¦¸Ë¾ú¡¢²»¶¯¸Ë¾úÊôºÍÍ­Â̼ٵ¥°û¾ú¶Ô±¾Æ·µÄÃô¸ÐÐԲ¶ÔÁ÷¸ÐÊÈѪ¸Ë¾ú¡¢Áܲ¡ÄÎɪ¾úºÍÄÔĤÑ×ÄÎɪ¾úÓнÏÇ¿¿¹¾ú×÷Óà £¬¶ÔÈÜѪÐÔÁ´Çò¾úºÍ·ÎÑ×Çò¾úÒàÓÐÓÅÁ¼×÷Ó᣶Խð»ÆÉ«ÆÏÌÑÇò¾úµÄMICΪ2~4mg/L¡£Äͼ×ÑõÎ÷ÁÔìÏÌÑÇò¾úºÍ³¦Çò¾ú¶Ô±¾Æ·ÄÍÒ©¡£ÎÞÊý´àÈõÄâ¸Ë¾ú¶Ô±¾Æ·ÄÍÒ©¡£

¡¾Ò©´ú¶¯Á¦Ñ§¡¿¼¡ÄÚ×¢É䱾Ʒ0.5gºÍ1g £¬Ô¼ÓÚ2Ó×ʱºó´ïµ½ÑªÒ©·åŨ¶È(Cmax)£»±ðÀëΪ43mg/LºÍ80mg/L¡£¼¡ÄÚ×¢Éä0.5gºó24Ó×ʱµÄѪҩŨ¶ÈΪ6.0mg/L £¬Ñª½â³ý°ëË¥ÆÚ(t1/2¦Â)Ϊ7.1Ó×ʱ¡£1·ÖÖÓÄÚ¾²×¢0.5g £¬¼´¿ÌѪҩ·åŨ¶È(Cmax)Ϊ150.9mg/L £¬24Ó×ʱºóµÄѪҩŨ¶ÈΪ9.9mg/L £¬Ñª½â³ý°ëË¥ÆÚ(t1/2¦Â)Ϊ7.87Ó×ʱ¡£30·ÖÖÓÄÚ¾²µÎ±¾Æ·1g £¬µÎעʵÏÖʱµÄ¼´¿ÌѪҩ·åŨ¶È(Cmax)Ϊ150.7mg/L £¬24Ó×ʱµÄѪҩŨ¶ÈΪ9.3mg/L¡£¸ø»¯Å§ÐÔÄÔĤÑײ¡ÈËÖðÈÕ¼¡ÄÚ×¢Éä15¡«20mg/kgºó £¬6Ó×ʱµÄÄÔ¼¹ÒºÅ¨¶È¾ùÔÈΪ5.16mg/L £¬12Ó×ʱµÄŨ¶ÈΪ2.3mg/L¡£¾²ÂöµÎ×¢±¾Æ·1gºó5Ó×ʱºÍ14Ó×ʱµ¨Ö­ÖÐŨ¶È±ðÀëΪ1600mg/LºÍ13.5mg/L¡£µ°°×½áºÏÂÊΪ95%¡£Í·æßÇúËÉÔÚÈËÌåÄÚ²»±»´úл £¬Ô¼40%µÄÒ©ÎïÒÔÕæÏà×Ôµ¨Â·ºÍ³¦Â·Åųö £¬60%×ÔÄòÖÐÅųö¡£±û»ÇÊæ²»ÄÜÔö¸ß±¾Æ·ÑªÒ©Å¨¶È»òµ¢¸éÆä°ëË¥ÆÚ¡£

¡¾Öü²Ø¡¿Õڹ⠣¬ÃÜ¹Ø £¬ÔÚÒõÁ¹(²»³¬¹ý20¡æ)¸ÉÔï´¦±£Áô¡£

¡¾°ü×°¡¿Î÷ÁÔì¿×°¡£10Ö§/ºÐ¡£

¡¾ÓÐЧÆÚ¡¿30¸öÔ¡£

¡¾Ö´Ðг߶ȡ¿¡¶ÖйúÒ©µä¡·2020Äê°æ¶þ²¿

¡¾ºË×¼Îĺš¿¹úÒ©×¼×ÖH14020693

¡¾ÉÏÊÐÐí¿É³ÖÓÐÈË¡¿Ãû³Æ£ºÉ½Î÷ºã·åg22̩ʢÔìÒ©ÓÐÏÞ¹«Ë¾

            ×¢²áµØÖ·£ºÉ½Î÷Ê¡°üÍ·Êо­¼Ã¼¼Êõ¿ª·¢ÇøµÚÒ»Ò½Ò©Ô°Çø

¡¾³ö²úÆóÒµ¡¿ÆóÒµÃû³Æ£ºÉ½Î÷ºã·åg22̩ʢÔìÒ©ÓÐÏÞ¹«Ë¾

        ³ö²úµØÖ·£ºÉ½Î÷Ê¡°üÍ·Êо­¼Ã¼¼Êõ¿ª·¢ÇøµÚÒ»Ò½Ò©Ô°Çø

        ÓÊÕþ±àÂ룺037300

        µç»°ºÅÂ룺0352¡ª7290991

        ´«ÕæºÅÂ룺0352¡ª7290990

dcf3ab353602978b710b0cf80ca015fd
×¢ÉäÓÃÍ·æßÇúËÉÄÆ
¡¾³É¡¡¡¡·Ý¡¿±¾Æ·ÖØÒª³É·ÝΪͷæßÇúËÉÄÆ¡£
¡¾Ö°ÄÜÖ÷ÖΡ¿ÓÃÓÚÃô¸ÐÖ²¡¾úËùÖµÄϺôÎü·ϰȾ¡¢Äò·¡¢µ¨Â·Ï°È¾ £¬ÒÔ¼°¸¹Ç»Ï°È¾¡¢ÅèǻϰȾ¡¢Æ¤·ôÈí×é֯ϰȾ¡¢¹ÇºÍ¹Ø½ÚϰȾ¡¢°ÜѪ֢¡¢ÄÔĤÑ׵ȼ°ÊÖÊõÆÚϰȾԤ·À¡£±¾Æ·µ¥¼Á¿ÉÒ½Öε¥´¿ÐÔÁܲ¡¡£
¡¾¹æ¡¡¡¡¸ñ¡¿°´C18H18N8O7S3¼Æ1.0g
¡¾ºË×¼Îĺš¿¹úÒ©×¼×ÖH14020693
²úÆ·×¢Ã÷

¡¾Ò©Æ·Ãû³Æ¡¿Í¨ÓÃÃû³Æ£º×¢ÉäÓÃÍ·æßÇúËÉÄÆ

        Ó¢ÎÄÃû³Æ£ºCeftriaxone Sodium for Injection

        ººÓïÆ´Òô£ºZhusheyong Toubaoqusongna

¡¾³É·Ý¡¿±¾Æ·ÖØÒª³É·ÝΪͷæßÇúËÉÄÆ¡£Æä»¯Ì¨¸¦³ÆÎª£º(6R £¬7R)-7-[[(2Z)-(2-°±»ùàçßò-4-»ù)£¨¼×Ñõ»ùÑǰ±»ù)ÒÒõ£»ù]°±»ù]-3-[[(2-¼×»ù-6-ôÇ»ù-5-Ñõ´ú-2 £¬5-¶þÇâ-1 £¬2 £¬4-Èýàº-3-»ù£©Áò»ù]¼×»ù]-8-Ñõ´ú-5-ÁòÔÓ-1-µªÔÓË«»·[4.2.0]ÐÁ-2-Ï©-2-ôÈËá¶þÄÆÑÎÈý±¶°ëË®ºÏÎï¡£

     Æä»¯Ñ§½á¹¹Ê½£º

×¢ÉäÓÃÍ·æßÇúËÉÄÆ

     ·Ö×Óʽ£ºC18H16N8Na2O7S3¡¤3?H2O

     ·Ö×ÓÁ¿£º661.59

¡¾ÐÔ×´¡¿±¾Æ·Îª°×É«»òÀà°×É«½á¾§ÐÔ·ÛÄ©£»ÎÞ³ô¡£

¡¾ÊÊÓ¦Ö¢¡¿ÓÃÓÚÃô¸ÐÖ²¡¾úËùÖµÄϺôÎü·ϰȾ¡¢Äò·¡¢µ¨Â·Ï°È¾ £¬ÒÔ¼°¸¹Ç»Ï°È¾¡¢ÅèǻϰȾ¡¢Æ¤·ôÈí×é֯ϰȾ¡¢¹ÇºÍ¹Ø½ÚϰȾ¡¢°ÜѪ֢¡¢ÄÔĤÑ׵ȼ°ÊÖÊõÆÚϰȾԤ·À¡£±¾Æ·µ¥¼Á¿ÉÒ½Öε¥´¿ÐÔÁܲ¡¡£

¡¾¹æ¸ñ¡¿°´C18H16N8Na2O7S3¼Æ1.0g

¡¾Ó÷¨ÓÃÁ¿¡¿¼¡ÄÚ×¢Éä»ò¾²ÂöµÎ×¢¸øÒ©¡£1¡¢¼¡ÄÚ×¢ÉäÈÜÒºµÄÅäÔ죺ÒÔ3.6mlÃð¾ú×¢ÉäÓÃË®¡¢ÂÈ»¯ÄÆ×¢ÉäÒº¡¢5%ÆÏÌÑÌÇ×¢ÉäÒº»ò1%ÑÎËáÀû¶à¿¨Òò²ÎÓë1gƿװÖÐ £¬Ôì³Éÿ1mlº¬250mgÍ·æßÇúËɵÄÈÜÒº¡£2¡¢¾²Âö¸øÒ©ÈÜÒºµÄÅäÔ죺½«9.6mlǰÊöÏ¡ÊÍÒº(³ýÀû¶à¿¨Òò±í)²ÎÓë1gƿװÖÐ £¬Ôì³Éÿ1mlº¬100mgÍ·æßÇúËɵÄÈÜÒºÔÙÓÃ5%ÆÏÌÑÌÇ×¢ÉäÒº»òÂÈ»¯ÄÆ×¢ÉäÒº100¡«250mlÏ¡Êͺó¾²ÂöµÎ×¢¡£³ÉÈ˳£ÓÃÁ¿£º¼¡ÄÚ»ò¾²ÂöµÎ×¢ £¬Ã¿24Ó×ʱ1¡«2g»òÿ12Ó×ʱ0.5¡«1g¡£×î¸ß¼ÁÁ¿Ò»ÈÕ4g¡£ÁƳÌ7¡«14ÈÕ¡£³à×Ó³£ÓÃÁ¿£º¾²ÂöµÎ×¢ £¬°´ÌåÖØÒ»ÈÕ20¡«80mg/kg¡£12ËêÒÔÉϳà×ÓÓóÉÈ˼ÁÁ¿¡£Ò½ÖÎÁܲ¡µÄÍÆ¼ö¼ÁÁ¿Îªµ¥¼Á¼¡ÄÚ×¢Éä0.25g¡£

¡¾²»Á¼·´Ó³¡¿²»Á¼·´Ó³ÓëÒ½ÖεļÁÁ¿¡¢ÁƳÌÓйØ¡£²¿ÃÅ·´Ó³Óо²ÂöÑ×(1.86%) £¬´Ë±í¿ÉÓÐÆ¤Õî¡¢ðþÑ÷¡¢·¢ÈÈ¡¢Ö§Æø¹Ü¾·ÂκÍѪÇ岡µÈ¹ýÃô·´Ó³(2.77%) £¬Í·Í´»òÍ·ÔÎ(0.27%) £¬¸¹Ðº¡¢¶ñÐÄ¡¢Å»Í¡¢¸¹Í´¡¢½á³¦Ñס¢»Æðã¡¢ÕÍÆø¡¢Î¶¾õ×è°­ºÍÏû»¯²»Á¼µÈÏû»¯Â··´Ó³(3.45%)¡£³¢ÊÔÊҲ鳭Òì³£Ô¼19% £¬ÆäÖÐѪҺѧ²é³­Òì³£Õ¼14% £¬Ô̺¬ÊÈËáÐÔÁ£Ï¸°ûÔö¶à £¬ÑªÓ×°åÔö¶à»òÏ÷¼õºÍ°×ϸ°ûÏ÷¼õ¡£¸ÎÉöÖ°ÄÜÒì³£ÕßΪ5%ºÍ1.4%¡£

¡¾½û¼É¡¿³ð¼Òæß¾úËØÀ࿹ÉúËØ¹ýÃôÕß½ûÓá£

¡¾µ±¿àÖÔÏî¡¿1¡¢¸øÒ©Ç°Ðè½øÐйýÃôÊÔÑé¡£2¡¢½»²æ¹ýÃô·´Ó³£º¶ÔÒ»ÖÖÍ·æß¾úËØ»òÍ·Ã¹ËØ(cephamycin)¹ýÃôÕß¶ÔÆäËûÍ·æß¾úËØ»òÍ·Ã¹ËØÒ²¿ÉÄܹýÃô¡£¶ÔÇàÃ¹ËØÀà¡¢ÇàÃ¹ËØÑÜÉúÎï»òÇàù°·¹ýÃôÕßÒ²¿ÉÄܳð¼Òæß¾úËØ»òÍ·Ã¹ËØ¹ýÃô¡£¶ÔÇàÃ¹ËØ¹ýÃô²¡ÈËÀûÓÃÍ·æß¾úËØÊ±·¢Éú¹ýÃô·´Ó³Õß´ï5%~10%£»Èç×÷ÃâÒß·´Ó³²â°´Ê± £¬Ôò¶ÔÇàÃ¹ËØ¹ýÃô²¡È˳ð¼Òæß¾úËØ¹ýÃôÕß´ï20%¡£3¡¢¶ÔÇàÃ¹ËØ¹ýÃô²¡ÈËÀûÓñ¾Æ·Ê±Ó¦Æ¾¾Ý²¡ÈËÇé¿ö³ä·ÖºâÁ¿Àû±×ºó¾ö¶¨¡£ÓÐÇàÃ¹ËØ¹ýÃôÐÔÐݿ˻ò¼´¿Ì·´Ó³Õß £¬²»ÒËÔÙÑ¡ÓÃÍ·æß¾úËØÀà¡£4¡¢ÓÐθ³¦Â·¼²²¡Ê·Õß £¬³ö¸ñÊÇÀ£ÑñÐԽ᳦Ñס¢¾ÖÏÞÐÔ³¦Ñ×»ò¿¹ÉúËØÓйØÐԽ᳦Ñ×(Í·æß¾úËØÀàºÜÉÙ²úÉúαĤÐԽ᳦Ñ×)ÕßÓ¦É÷Óá£5¡¢ÓÉÓÚÍ·æß¾úËØÀà¶¾ÐÔµÍ £¬ËùÒÔÓÐÂýÐԸβ¡»¼ÕßÀûÓñ¾Æ·Ê±²»Ðèµ÷Õû¼ÁÁ¿¡£²¡ÈËÓÐÑÏÖØ¸ÎÉöÇÖº¦»ò¸ÎÓ²»¯ÕßÓ¦µ÷Õû¼ÁÁ¿¡£6¡¢ÉöÖ°Äܲ»È«»¼Õß¼¡ôû¶Ï¸ù´óÓÚ5ml/·ÖÖÓ £¬ÖðÈÕÀûÓñ¾Æ·¼ÁÁ¿ÉÙÓÚ2gʱ £¬²»Ðè×÷¼ÁÁ¿µ÷Õû¡£ÑªÒºÍ¸Îö¶Ïµ××ÓÆ·µÄÁ¿²»¶à £¬Í¸ÎöºóÎÞÐè²¹³ä¼ÁÁ¿¡£7¡¢¶ÔÕï¶ÏµÄ×ÌÈÅ£ºÀûÓñ¾Æ·µÄ»¼ÕßÒÔÁòËáÍ­·¨²âÄòÌÇʱ¿É»ñµÃ¼ÙÑôÐÔ·´Ó³ £¬ÒÔÆÏÌÑÌÇø·¨Áî²»ÊÜÓ°Ï죻ѪÄòËØµªºÍѪÇ弡ôû¿ÉÓÐÁÙʱÐÔÉý¸ß£»ÑªÇ嵨ºìÖÊ¡¢¼îÐÔÁ×Ëáø¡¢±û°±Ëá°±»ù×ªÒÆÃ¸(ALT)ºÍÃŶ¬°±Ëá°±»ù×ªÒÆÃ¸(AST)½Ô¿ÉÉý¸ß¡£8¡¢±¾Æ·µÄ±£ÁôζÈΪ25¡æÒÔÏ¡£9¡¢±¾Æ·²»ÄܲÎÓë¹þÌØÂüÊÏÒÔ¼°ÁÖ¸ñÊϵȺ¬ÓиƵÄÈÜÒºÖÐʹÓá£

¡¾Ôи¾¼°²¸ÈéÆÚ¸¾Å®ÓÃÒ©¡¿Ôи¾ºÍ²¸ÈéÆÚ¸¾Å®ÀûÓÃÍ·æß¾úËØÀàËäÉÐδ¼û·¢ÉúÎÊÌâµÄ»ã±¨ £¬ÆäÀûÓÃÈÔÐëºâÁ¿Àû±×¡£

¡¾¶ùͯÓÃÒ©¡¿ÐÂÉú¶ù(µ®ÉúÌåÖØÓ×ÓÚ2kgÕß)µÄÓÃÒ©°²È«ÉÐδȷ¶¨¡£ÓлÆðãµÄÐÂÉú¶ù»òÓлÆðãÑÏÖØÆ«²îµÄÐÂÉú¶ùÓ¦É÷ÓûòÔ¤·ÀʹÓñ¾Æ·¡£¡¾ÀÏÄêÓÃÒ©¡¿³ý·ÇÀÏÄ껼ÕßÐéÈõ¡¢ÓªÑø²»Á¼»òÓÐÖØ¶ÈÉöÖ°ÄÜÇÖº¦Ê± £¬ÀÏÄêÈËÀûÓÃÍ·æßÇúËÉͨ³£²»Ðèµ÷Õû¼ÁÁ¿¡£

¡¾Ò©ÎïÏ໥×÷Óá¿1¡¢Í·æß¾úËØÀྲÂöÊäÒºÖвÎÓëºìÃ¹ËØ¡¢ËÄ»·ËØ¡¢Á½ÐÔÃ¹ËØB¡¢Ñª¹Ü»îÐÔÒ©(¼äôǰ·¡¢È¥¼×ÉöÉÏÏÙËØµÈ)¡¢±½Í×Ӣį¡¢Âȱûມ¢Òì±ûມ¢Î¬ÉúËØB×塢άÉúËØCµÈʱ½«³öÏÖ»ë×Ç¡£ÓÉÓÚ±¾Æ·µÄÅäÎé½û¼ÉÒ©ÎïÉõ¶à £¬ËùÒÔÓ¦µ¥¶À¸øÒ©¡£2¡¢ÀûÓñ¾Æ·ÆÚ¼äÒû¾Æ»ò·þº¬¾Æ¾«Ò©ÎïʱÔÚ¸ö±ð²¡È˿ɳöÏÖË«ÁòÂØÑù·´Ó³ £¬¹ÊÔÚÀûÓñ¾Æ·ÆÚ¼äºÍÒÔÀ´ÊýÌìÄÚ £¬Ó¦Ô¤·ÀÒû¾ÆºÍ·þº¬¾Æ¾«µÄÒ©Îï¡£

¡¾Ò©Îï¹ýÁ¿¡¿Éв»Ã÷È·¡£

¡¾Ò©Àí¶¾Àí¡¿±¾Æ·ÎªµÚÈý´úÍ·æß¾úËØÀ࿹ÉúËØ¡£¶Ô³¦¸Ë¾ú¿ÆÏ¸¾úÓÐ׳´ó»îÐÔ¡£¶Ô´ó³¦°£Ï£¾ú¡¢·ÎÑ׿ËÀײ®¾ú¡¢²úÆø³¦¸Ë¾ú¡¢·úÀ͵ØèÛéÚËá¸Ë¾ú¡¢ßÅßáÑôÐÔ±äÐθ˾ú¡¢ÆÕ³ÍþµÇ¾úÊôºÍɳÀ×¾úÊôµÄMIC90½éÓÚ0.12~0.25mgLÖ®¼ä¡£°µ¹µ³¦¸Ë¾ú¡¢²»¶¯¸Ë¾úÊôºÍÍ­Â̼ٵ¥°û¾ú¶Ô±¾Æ·µÄÃô¸ÐÐԲ¶ÔÁ÷¸ÐÊÈѪ¸Ë¾ú¡¢Áܲ¡ÄÎɪ¾úºÍÄÔĤÑ×ÄÎɪ¾úÓнÏÇ¿¿¹¾ú×÷Óà £¬¶ÔÈÜѪÐÔÁ´Çò¾úºÍ·ÎÑ×Çò¾úÒàÓÐÓÅÁ¼×÷Ó᣶Խð»ÆÉ«ÆÏÌÑÇò¾úµÄMICΪ2~4mg/L¡£Äͼ×ÑõÎ÷ÁÔìÏÌÑÇò¾úºÍ³¦Çò¾ú¶Ô±¾Æ·ÄÍÒ©¡£ÎÞÊý´àÈõÄâ¸Ë¾ú¶Ô±¾Æ·ÄÍÒ©¡£

¡¾Ò©´ú¶¯Á¦Ñ§¡¿¼¡ÄÚ×¢É䱾Ʒ0.5gºÍ1g £¬Ô¼ÓÚ2Ó×ʱºó´ïµ½ÑªÒ©·åŨ¶È(Cmax)£»±ðÀëΪ43mg/LºÍ80mg/L¡£¼¡ÄÚ×¢Éä0.5gºó24Ó×ʱµÄѪҩŨ¶ÈΪ6.0mg/L £¬Ñª½â³ý°ëË¥ÆÚ(t1/2¦Â)Ϊ7.1Ó×ʱ¡£1·ÖÖÓÄÚ¾²×¢0.5g £¬¼´¿ÌѪҩ·åŨ¶È(Cmax)Ϊ150.9mg/L £¬24Ó×ʱºóµÄѪҩŨ¶ÈΪ9.9mg/L £¬Ñª½â³ý°ëË¥ÆÚ(t1/2¦Â)Ϊ7.87Ó×ʱ¡£30·ÖÖÓÄÚ¾²µÎ±¾Æ·1g £¬µÎעʵÏÖʱµÄ¼´¿ÌѪҩ·åŨ¶È(Cmax)Ϊ150.7mg/L £¬24Ó×ʱµÄѪҩŨ¶ÈΪ9.3mg/L¡£¸ø»¯Å§ÐÔÄÔĤÑײ¡ÈËÖðÈÕ¼¡ÄÚ×¢Éä15¡«20mg/kgºó £¬6Ó×ʱµÄÄÔ¼¹ÒºÅ¨¶È¾ùÔÈΪ5.16mg/L £¬12Ó×ʱµÄŨ¶ÈΪ2.3mg/L¡£¾²ÂöµÎ×¢±¾Æ·1gºó5Ó×ʱºÍ14Ó×ʱµ¨Ö­ÖÐŨ¶È±ðÀëΪ1600mg/LºÍ13.5mg/L¡£µ°°×½áºÏÂÊΪ95%¡£Í·æßÇúËÉÔÚÈËÌåÄÚ²»±»´úл £¬Ô¼40%µÄÒ©ÎïÒÔÕæÏà×Ôµ¨Â·ºÍ³¦Â·Åųö £¬60%×ÔÄòÖÐÅųö¡£±û»ÇÊæ²»ÄÜÔö¸ß±¾Æ·ÑªÒ©Å¨¶È»òµ¢¸éÆä°ëË¥ÆÚ¡£

¡¾Öü²Ø¡¿Õڹ⠣¬ÃÜ¹Ø £¬ÔÚÒõÁ¹(²»³¬¹ý20¡æ)¸ÉÔï´¦±£Áô¡£

¡¾°ü×°¡¿Î÷ÁÔì¿×°¡£10Ö§/ºÐ¡£

¡¾ÓÐЧÆÚ¡¿30¸öÔ¡£

¡¾Ö´Ðг߶ȡ¿¡¶ÖйúÒ©µä¡·2020Äê°æ¶þ²¿

¡¾ºË×¼Îĺš¿¹úÒ©×¼×ÖH14020693

¡¾ÉÏÊÐÐí¿É³ÖÓÐÈË¡¿Ãû³Æ£ºÉ½Î÷ºã·åg22̩ʢÔìÒ©ÓÐÏÞ¹«Ë¾

            ×¢²áµØÖ·£ºÉ½Î÷Ê¡°üÍ·Êо­¼Ã¼¼Êõ¿ª·¢ÇøµÚÒ»Ò½Ò©Ô°Çø

¡¾³ö²úÆóÒµ¡¿ÆóÒµÃû³Æ£ºÉ½Î÷ºã·åg22̩ʢÔìÒ©ÓÐÏÞ¹«Ë¾

        ³ö²úµØÖ·£ºÉ½Î÷Ê¡°üÍ·Êо­¼Ã¼¼Êõ¿ª·¢ÇøµÚÒ»Ò½Ò©Ô°Çø

        ÓÊÕþ±àÂ룺037300

        µç»°ºÅÂ룺0352¡ª7290991

        ´«ÕæºÅÂ룺0352¡ª7290990